Title
Assessing and Treating Vocal Stereotypy in Children with Autism
Citation
Ahearn W.H., Clark K.M., MacDonald R.P., Chung B.I. (2007). Assessing and treating vocal stereotypy in children with autism. Journal of Applied Behavior Analysis, 40(2). 263-275. https://dx.doi.org/10.1901%2Fjaba.2007.30-06
Authors
- William H. Ahearn
- Kathy M. Clark
- Rebecca F. MacDonald
- Bo In Chung
Article Info
- Journal of Applied Behavior Analysis (2007)
- Volume 40, Issue 2,
pages 263-275
Key Words
- Vocal Stereotypy
- Automatic Reinforcement
- Response Interruption
- Autism
Abstract
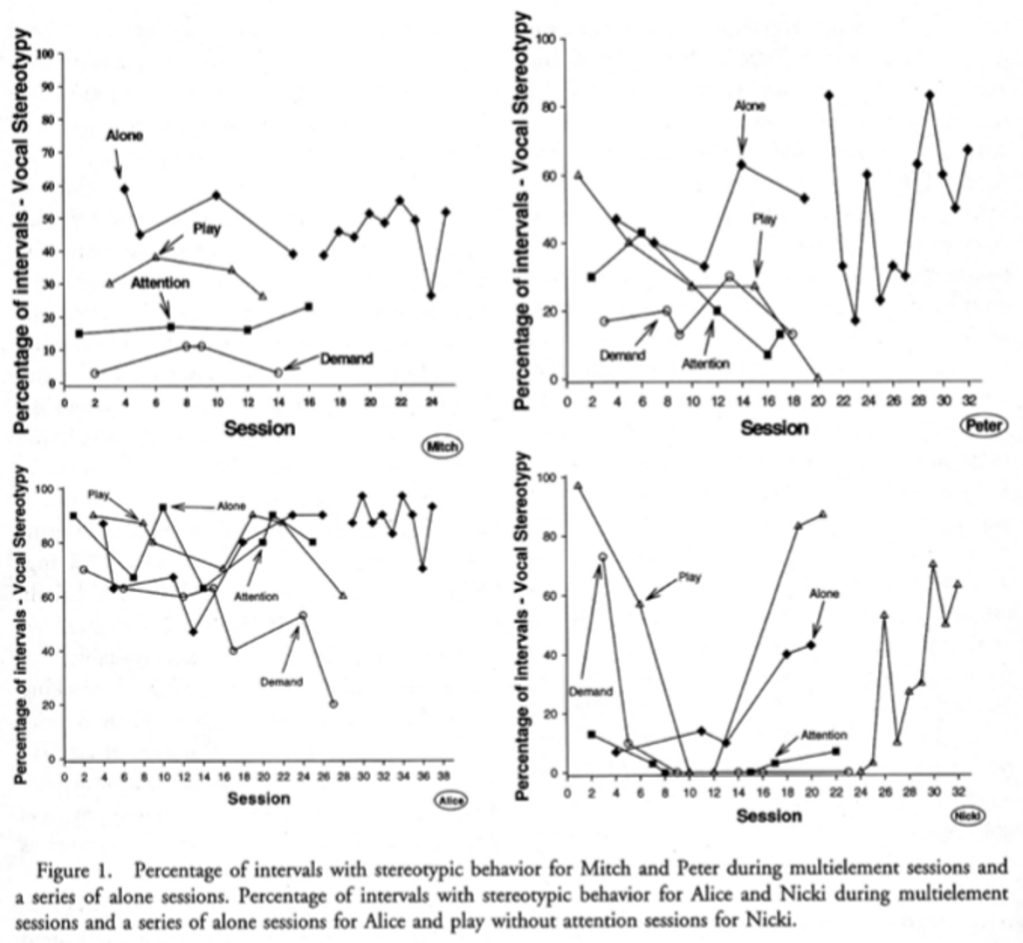
Previous research implies that stereotypic behavior tends to be maintained by the sensory consequences produced by engaging in the response. Few investigations, however, have focused on vocal stereotypy. The current study examined the noncommunicative vocalizations of 4 children with an autism spectrum disorder. First, functional analyses were conducted in an attempt to identify the function of each child’s behavior. For each of the participants, it was found that vocal stereotypy was likely not maintained by the social consequences. Following assessment, response interruption and redirection (RIRD) was implemented in an ABAB design to determine whether vocal stereotypy could be successfully redirected. RIRD involved a teacher issuing a series of vocal demands the child readily complied with during regular academic programming. Vocal demands were presented contingent on the occurrence of vocal stereotypy and were continuously presented until the child complied with three consecutively issued demands without emitting vocal stereotypy. For each child, RIRD produced levels of vocal stereotypy substantially lower than those observed in baseline. For 3 of the children, an increase in appropriate communication was also observed. The children’s teachers were trained to implement RIRD. Brief follow-up probes and anecdotal information implied that the treatment had a positive impact in the natural environment.
Summary
Stereotypy
Stereotypy is defined as repetitive motor and vocal responding. It is described as being typically present in those diagnosed with intellectual disabilities and is listed in the criteria for Autism Spectrum Disorder (ASD). There is no accepted presumed function for stereotypy behaviors, however, many people believe it to be responding maintained by automatic reinforcement due to sensory stimulation consequence by engaging in the behaviors. This has been backed up by experimental analyses, which also indicate behavior can be maintained by multiple functions.
Why Response Interruption Could Be Effective
The authors believe response interruption can be effective in treating stereotypy because previous research has shown response blocking (interrupting) to be effective in decreasing automatically reinforced behaviors. However, this research was not conducted on interrupting vocal stereotypy. The assumption is, since vocal stereotypy is likely to be maintained by automatic reinforcement, then response blocking (interrupting) should also be effective for vocal stereotypy as it is for other automatically reinforced behaviors.
How Stereotypy Was Defined
The operational definition of vocal stereotypy used in this study was, “any instance of noncontextual or nonfunctional speech and included singing, babbling, repetitive grunts, squeals, and phrases unrelated to the present situation” (p. 266). This can better be explained as being any instance of speech and/or vocalizations that are not part of initiating or sustaining conversation, including unintelligible utterances. Although not specified in the definition, these vocalizations would have to be repetitive, as that is a defining feature of stereotypy behaviors. This would include repetitive random noises, word phrases, and sounds emitted by the speaker. Examples would include but are not limited to, continuously saying the name of a TV character, making clicking sounds with one’s mouth every 5-seconds, and singing nursery rhymes multiples times in a given duration, such as 4-times in 10-minutes. This would not include any instances of an individual random or novel noise (e.g., grunts), utterance (e.g., babbled word or sound), or speech (i.e., randomly speaking a word, such as “hello”, when nobody has entered the room).
Graphs & Figures
Figure 1

Figure 2

Figure 3

