Title
Experimental analysis and extinction of self-injurious escape behavior.
Citation
Iwata, B.A., Pace, G.M., Kalsher, M.J., Cowdery, G.E., & Cataldo, M.F. (1990). Experimental analysis and extinction of self-injurious escape behavior. Journal of Applied Behavior Analysis, 23(1), 11–27. https://doi.org/10.1901/jaba.1990.23-11
Authors
- Brian A. Iwata
- Gary M. Pace
- Michael J. Kalsher
- Glynnis Edwards Cowdery
- Michael F. Cataldo
Article Info
- Journal of Applied Behavior Analysis (1990)
- Volume 23, Issue 1,
pages 11-27
Key Words
- Avoidance Bx
- Escape Bx
- Extinction
- Functional Analysis
- Negative Reinforcement
- Self-Injurious Bx (SIB)
Abstract
Three studies are presented in which environmental correlates of self-injurious behavior were systematically examined and later used as the basis for treatment. In Study 1, 7 developmentally disabled subjects were exposed to a series of conditions designed to identify factors that maintain self-injurious behavior: attention contingent on self-injurious behavior (positive reinforcement), escape from or avoidance of demands contingent on self-injurious behaviour (negative reinforcement), alone (automatic reinforcement), and play (control). Results of a multielement design showed that each subject’s self-injurious behavior occurred more frequently in the demand condition, suggesting that the behavior served an avoidance or escape function. Six of the 7 subjects participated in Study 2. During educational sessions, “escape extinction” was applied as treatment for their self-injurious behavior in a multiple baseline across subjects design. Results showed noticeable reduction or elimination of self-injurious behavior for each subject and an increase in compliance with instructions in all subjects for whom compliance data were taken. The 7th subject, whose self-injurious behavior during Study 1 occurred in response to medical demands (i.e., physical examinations), participated in Study 3. Treatment was comprised of extinction, as in Study 2, plus reinforcement for tolerance of the examination procedure, and was evaluated in a multiple baseline across settings design. Results showed that the treatment was successful in eliminating self-injurious behavior and that its effects transferred across eight new therapists and three physicians. General implications for the design, interpretation, and uses of assessment studies are discussed.
Summary
Purpose & Method
- Purpose: to research the correlation between negative reinforcement and SIB, as negative reinforcement has not been extensively researched.
- Method:
- Seven participants (children & adolescents), all showed evidence of having developmental delay and displayed SIB.
- SIB behaviors were reported as,
- posing moderate to severe physical risk, ranging from surface tissue damage to potential loss of vision.
- significantly interfering with their educational performance and ability t perform self-care tasks.
- unmanageable across home, school, and/or institutional settings.
- SIB behaviors were reported as,
- All participants were medical examined prior and it was determined that they could be allowed to engage in SIB unrestrained for brief durations with little risk of inflicting further injury.
- Physicians and Nurses regularly monitored participants during and after sessions.
- IOA taken in 34% of sessions
- Seven participants (children & adolescents), all showed evidence of having developmental delay and displayed SIB.
- Experiment:
- 15-minute sessions consisting of exposure to a series of conditions: Attention, Demand, Medical, Alone, Play
- Participant Donald was the only one to experience Medical, consisting of medical examination and questions regarding physical handicaps/deficits.
- Example of Donald’s physical concerns, the necessity for eye surgery due to SIB consisting of punching self in the face.
- 15-minute sessions consisting of exposure to a series of conditions: Attention, Demand, Medical, Alone, Play
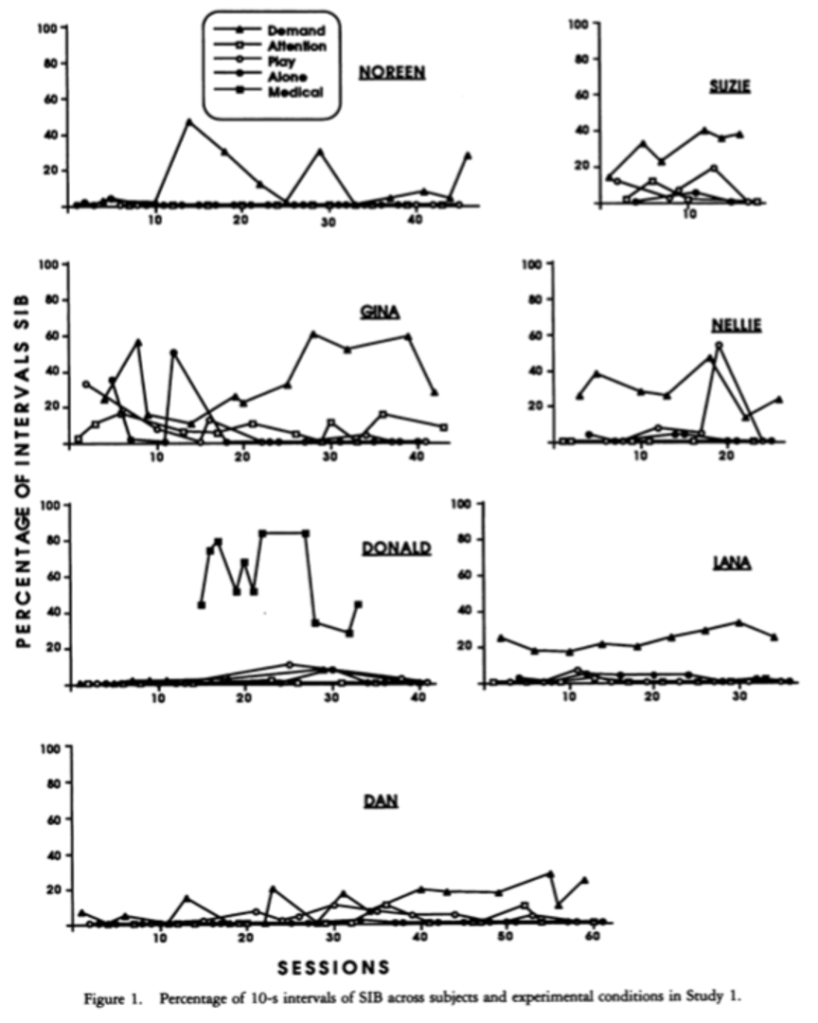
Results
All participants engaged in SIB more frequently during the Demand condition, (Donald’s was the Medical condition, which acted as a Demand condition for him), indicating that the Demand condition was aversive (had aversive events) that were paired with the contingent removal of aversive stimuli when engaging in SIB, thus serving as Negative Reinforcement.
Discussion
The key going forward is to determine which aversive aspect is maintaining the SIB, the presentation of demands, the behavioral requirements of the task, or the remedial trials and physical prompting that occurred following an incorrect response. This will help determine if SIB is being maintained by Escape or Avoidance.
Review
Overall Purpose of Experiments
The overall purpose of 3 experiments presented in this study was to examine self-injurious behavior (SIB) maintained by negative reinforcement and attempt to extinguish it successfully using escape interventions. Previous studies were cited, as Experiment 1 was a replication of Iwata’s earlier work. The authors of the study showed that escape-maintained SIB responding differs under negative reinforcement contingencies. Other studies cited were stated to have evaluated the use of various treatments on negatively reinforced SIB, such as escape/avoidance without changing the contingencies maintaining behaviors, changing stimuli that elicit avoidance SIB, changing contingencies maintaining SIB via extinction and compliance training, and establishing alternative methods of escape (other than SIB). Additionally, when SIB was assessed to have a non-negative reinforcement contingency, such as attention-maintaining behaviors, interventions were not effective in extinguishing the positive reinforcement contingency.
This is why the authors noted it was important to ensure the participants’ SIB was maintained by negative reinforcement, otherwise, results would not have been consistent. To ensure the purpose of focusing on negative reinforcement specifically, 3 individual experiments were conducted. The first experiment was a functional analysis designed to identify the functions of the 7 participants’ SIB, in which 6 of the 7 participants were found to engage in escape-maintained SIB in regard to educational tasks. The second experiment took those 6 escape-maintained participants and implemented an extinction procedure to reduce SIB across participants using a Multiple Baseline design. The 7th participant engaged in escape-maintained behaviors that were specifically elicited by medical examinations and questions. Their intervention was the extinction of escape paired with verbal praise for compliance, in order to increase tolerance of the aversive medical tasks/activities.
Functions of Problem Bx’s in Experiment 1
The function of SIB for all participants in Experiment 1 was Escape. However, for all participants except Donald, the function was specifically escape/avoidance elicited by instructional tasks. Those 6 participants received the intervention in Experiment 2 (escape extinction procedure). Donald’s SIB was maintained by escape that was specifically elicited by medical tasks and questions. Donald engaged in SIB, almost exclusively, when asked to perform a task during medical examinations or when asked to answer questions regarding his disabilities during medical examinations. This meant he required a different intervention than the other 6 participants from Experiment 1, which was a paired extinction of escape with verbal praise for appropriately engaging in the aversive tasks (Experiment 3). This pairing of verbal praise was meant to increase Donald’s tolerance, which should make escape less probable as increased tolerance would decrease aversiveness.
Treatments in Experiment 2
The treatment used in Experiment 2 was an extinction procedure that was described as the continual presentation of aversive stimuli while removing access to escape/avoidance. As all 6 participants in Experiment 2 also underwent Experiment 1, Baseline was based on the Demand condition of the FA in Experiment 1. For 5 of 6 participants, the intervention was Extinction paired with physical guidance. Meaning, reinforcement was removed for SIB and physical guidance was used for compliance upon observation of incorrect responding, no responding, and engagement in SIB. For 1 of 6 participants, the intervention was extinction paired with both physical guidance and response blocking. Meaning, in addition to the removal of reinforcement and physical guidance that the other participants received, the 6th participant had their SIB response attempts physically disrupted (blocked), and although the SIB attempts were not complete responses they were counted as individual incidents of SIB.
The results of Experiment 2, for the 5 of 6 who underwent extinction with physical guidance, showed that SIB responding went from high variability during the Baseline to low-to-no rates of responding following intervention implementation. Also, as SIB decreased for the participants, compliance increased. Based on Figure 2 (p. 20) of Iwata et al. (1990), for the participant (1 of 6) who underwent extinction with physical guidance and response blocking, results showed their SIB occurred at steadily increasing high rates during Baseline, with no rates of compliance. After initially implementing extinction with physical guidance, SIB variability increased significantly from approximately 15% to 30%+ of intervals across 9 sessions during Baseline to a significantly wider range of approximately 10% to 50% of intervals across 21 sessions, with all but one session appearing to continue no rates of compliance. After implementing the second intervention of extinction with physical guidance and response blocking, compliance increased significantly to high rates (nearly 50% of intervals) and SIB decreased to consistently low rates (10% of intervals or less across 25 of 35 sessions).
Graphs & Figures
Figure 1

Figure 2

Figure 3

