Title
Evaluation of the “Control Over Reinforcement” Component in Functional Communication Training
Citation
Kahng, S., Iwata, B., DeLeon, I., & Worsdell, A. (1997). Evaluation of the “control over reinforcement” component in functional communication training. Journal of Applied Behavior Analysis, 30(2), 267-277. https://doi.org/10.1901/jaba.1997.30-267
Authors
- SungWoo Kahng
- Brian A. Iwata
- Iser G. DeLeon
- April S. Worsdell
Article Info
- Journal of Applied Behavior Analysis (1997)
- Volume 30, Issue 2,
pages 267-277
Key Words
- Extinction
- Self-Injurious Bx (SIB)
- Functional Analysis
- Functional Communication Training (FCT)
- Non-Contingent Reinforcement (NCR)
Abstract
The effectiveness of functional communication training (FCT) as a treatment for behavior disorders has been attributed to a number of variables, one of which is the individual’s ability to exert control over the delivery of reinforcement. We evaluated this component of FCT by exposing individuals to conditions in which their behavior either did or did not affect the delivery of reinforcement. Three adults with mental retardation who engaged in self-injurious behavior (SIB) participated. Following a functional analysis of their SIB, the effects of FCT were compared to those of noncontingent reinforcement (NCR) in a multielement design. The amount of reinforcement during both conditions was equated by yoking the schedule of reinforcement during NCR sessions to that in effect during FCT sessions. Results indicated that FCT and NCR were equally effective in reducing the SIB of all participants and suggest that control over reinforcement delivery may not affect the degree to which FCT produces behavioral suppression. However, a different benefit of FCT was evident in the results: More consistent increases in the alternative response were observed during the FCT condition than during the NCR condition.
Summary
Purpose & Method
- Purpose:
This study compared the use of FCT to Non-Contingent Reinforcement (NCR). NCR was used as a control procedure during this study.- FCT involves establishing a socially appropriate responding that will produce reinforcers that are functionally the same as those identified through behavioral assessment, which currently maintains inappropriate responses.
- For example, if a maladaptive behavior is maintained by attention, an FCT intervention may involve teaching the student to express their desire for attention using an appropriate word/phrase, or (if non-verbal) methods such as PECS cards, gestures, or signs.
- Method:
- Three adult participants residing in a state residential facility (ARF) for people diagnosed with developmental disabilities. All were referred to a specialized day program for assessment due to SIB.
- Todd – 50-year-old male, with profound mental retardation (intellectual disability) & tuberous sclerosis. SIB is head-banging (wears a helmet for seizures and SIB).
- Lynn – 29-year-old female, with severe mental retardation (intellectual disability), SIB was hand-mouthing.
- Bob – 45-year-old male, with severe mental retardation (intellectual disability), SIB was eye-poking.
- Three adult participants residing in a state residential facility (ARF) for people diagnosed with developmental disabilities. All were referred to a specialized day program for assessment due to SIB.
- Experiment:
- 10-15-minute sessions, 2-4-times per day, 5 days per week at the participants’ day program at their ARF.
- Todd – head banging was defined as forceful contact of his head against walls or furniture.
- DRA response during FCT training was raising an arm
- Initially defined as lifting the hand above the level of his shoulder.
- After Session 23, during the treatment phase of the study, the definition of arm raising was changed to lifting the hand above the level of his chest.
- This was due to observations indicating Todd could only raise his arm to chest height.
- DRA response during FCT training was raising an arm
- Lynn – hand mouthing was defined as the insertion of the hand into the mouth, past the plane of the upper and lower lips.
- DRA response was saying ‘‘hi.’’
- Bob – Eye-poking was defined as the insertion of a finger into the eye socket.
- DRA response was signing “finished”.
- IOA was taken in 32.7% of Todd’s sessions, 40.3% of Lynn’s, and 27.5% of Bob’s.
- Functional Analysis (FA) was conducted using a multielement design. Specifically, Multiple Baseline Across Subjects Design.
- 2 Baselines were conducted simultaneously, 1 by each experimenter.
- Experimenter 1, who implemented FCT.
- Experimenter 2, who implemented NCR.
- 4 Condition – Alone, Attention, Play, Demand
- 2 Baselines were conducted simultaneously, 1 by each experimenter.
- During NCR sessions, reinforcement schedules were made to match the reinforcement schedules of FCT sessions.
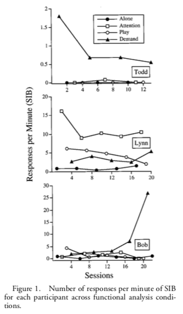
FA Results
- Todd – SIB occurred almost exclusively during the Demand, indicating SIB was maintained by negative reinforcement in the form of escape from demands.
- Lynn – SIB occurred across all conditions, but highest during Attention. This suggested SIB was maintained by positive reinforcement in the form of attention from caregivers.
- Bob – SIb was highest during Demand, indicating SIB was maintained by negative reinforcement in the form of escape from demands.
Treatment Results
- FCT suppressed SIB for all 3 participants, and NCR successfully decreased SIB at similar but lower rates than FCT. This indicates that motivation, Establishing Operations (EO’s), may have been more critical initially than delivery of reinforcement. However, the successful emitting of alternative responses (DRA responses) indicates that FCT was effective in treating SIB for the participants.
- Todd – After changing the definition of his DRA response, Todd’s independent arm raising increased significantly during both FCT and NCR.
- Lynn – Significant difference in FCT responding (higher) than NCR (lower).
- Bob – DRA responding occurred at variable rates during FCT, and only once during NCR conditions.
Discussion
- Todd and Lynn’s generalization of DRA responding from FCT to the beginning of NCR conditions shows that FCT can generalize responding to settings without reinforcement, however, the decrease in responding as NCR sessions neared their end indicates that extinction will occur if the schedule of reinforcement is too thin.
- NCR schedule may have been too rich to account for deprivation that occurs within the participants’ natural environment.
- FCT may be easier on therapists, as the client is responsible for triggering reinforcement, while NCR means the therapist must maintain awareness of reinforcement delivery schedules.
Review
What is a DRA procedure and how is that related to FCT?
DRA is an acronym for Differential Reinforcement of Alternative behaviors. It is a consequence contingency that reinforces engaging in appropriate replacement behaviors, instead of the maladaptive behavior being targeted. Functional Communication Training (FCT) is an antecedent intervention that teaches a learner to use an appropriate identifiable response to communicate with others their wants/needs without engaging in maladaptive behaviors. FCT can be any form of verbal communication, whether it’s vocalizations, gestures, signs, or PECS. DRA relates to FCT because it reinforces the appropriate manding/responding learned within FCT, increasing the probability of using FCT skills and decreasing the probability of engaging in the maladaptive behaviors that are maintained by consequences that are replaced with FCT learned mands/responding. For example, a learner may engage in escape-maintained tantrum behaviors. FCT may be implemented to teach a learner how to appropriately request escape, while DRA is used to reinforce the engagement of mands learned through FCT.
What is a DRO procedure and how is that related to FCT?
DRO is an acronym for Differential Reinforcement of Other behaviors. It is a consequence contingency that reinforces engaging in any appropriate behavior, as long as it is not the targeted maladaptive behavior. It can also be described as reinforcing durations of not responding with the maladaptive behaviors being targeted. DRO relates to FCT as FCT teaches appropriate responding that results in the same desired consequences as maladaptive behaviors, which replace those maladaptive behaviors. Once replaced, DRO is used to reinforce not engaging in those maladaptive behaviors, or engaging in behaviors other than the maladaptive behavior. This continues to decrease the probability of engaging in maladaptive behaviors, which also results in increasing the probability of engaging in the FCT responses.
What was found about the effects of FCT vs. NCR on SIB?
The authors initially establish that non-contingent reinforcement (NCR) differs from DRA, DRO, and FCT because it is implemented based on elapsed intervals, providing reinforcement regardless of the behaviors emitted, while DRA, DRO, and FCT reinforce behavioral responding. In regard to SIB (Figure 2, p. 272), both FCT and NCR were found to result in a decrease in the rates (responses per minute of session) of SIB for all 3 participants, with only 1 of 3 having an initial spike in rates before falling to low rates. For 2 of 3 participants without the initial spike, SIB decreased to occur with low variability and low-to-no rates, with both resulting in similarly reduced rates. The participant (1 of 3) with the initial spike had moderate variability, with NCR reducing rates of SIB lower than FCT until responding became consistent with low variability.
Graphs & Figures
Figure 1

Figure 2

Figure 3

Figure 3

